
At some point in a dentist's career, the purchase or sale of a practice will become an issue to be considered. To enable the owner-dentist to become more savvy when dealing with other dentists, partnerships, and private equity firms when they show interest in acquiring your business, consultant Thomas Climo, PhD, offers the four methods of valuing dental practices.
This series of three articles will increase your knowledge of dental practice evaluation and the methods employed for valuing dental practices. The first article discussed Method 1: Percentage of prior-year sales.
Method 2: Net income or Warren Buffett approach
Thomas Climo, PhD, is a dental practice management consultant and a past professor of economics in England.At the heart of the misunderstanding of owner-dentist draws on his or her retail dental business is the failure to understand the importance of depreciation as a means and method for preserving the capital base of a business.
British economist John Richards Hicks described the nature and function of income in his 1939 masterpiece, Value and Capital. "The purpose of income calculations in practical affairs is to give people an indication of the amount which they can consume without impoverishing themselves," he wrote.
Based on this proposition Hicks defines "a man's income as the maximum value which he can consume during a week, and still expect to be as well off at the end of the week as he was at the beginning." If a man saves, he is planning to be better off in the future than he is now. If a man spends more than his income is, he is planning to deteriorate his well-being.
"Remembering that the practical purpose of income is to serve as a guide for prudent conduct, I think it is fairly clear that this is what the central meaning of income must be," Hicks wrote.
Transferring this analysis to the financial statements of a solo practitioner owner-dentist, when the equity draws in a given year exceed that of the stated net income from that year, clearly the dentist is deteriorating his business. The dentist is not consuming in a year an amount that will leave him or her as well off at the end of the year as he or she was at the beginning.
"But it's my business," the owner-dentist screams. "I am entitled to take all my net income as an equity draw." Yes, this is true, but this entitlement has a guide to prudent conduct often not found or stated in dental practice income statements. The prudent conduct of the owner-dentist is guided by a capital maintenance allocation known as depreciation expense. Provided the owner-dentist has reduced the net income he or she is wholly distributing to him/herself ensuring that any rundown in physical assets occurring during the year are offset with a depreciation expense, then and only then can it be said that the detnist is consuming net income without deteriorating his or her business.
Depreciation seems to be the least understood of expense items in retail dentistry, and the fickle way depreciation is calculated or not calculated in the income statement of solo practitioners has led in some cases to poverty in the prospective selling price of a practice. The real reason the owner-dentist is getting only a portion of the value of a practice in terms of a percentage of prior-year revenues is because the capital assets in the business have not been maintained intact with correct depreciation expense allocations.
To those that dismiss depreciation as a bookkeeping formality -- methods 3 and 4 do as does method 1 -- they have to respond to the following wise analogy and observation of Warren Buffett made in his 2002 Berkshire Hathaway annual report.
In truth, depreciation is a particularly unattractive expense because the cash outlay it represents is paid upfront, before the asset acquired has delivered any benefits to the business. Imagine, if you will, that at the beginning of this year a company paid all of its employees for the next 10 years of their service (in the way they would lay out cash for a fixed asset to be useful for 10 years). In the following nine years, compensation would be a "noncash" expense -- a reduction of a prepaid compensation asset established this year. Would anyone care to argue that the recording of the expense in years two through 10 would be simply a bookkeeping formality?
Following this reasoning through, Buffett is dismissive of the value of an earnings before interest, taxes, depreciation, and amortization (EBITDA) number as the numerator in the perpetuity formula for valuation, that is to say the annual cash flow from the business without depreciation or net income with depreciation divided by the applicable cost of capital as denominator stated as a percentage rate. I have utilized this definition before in a prior article ("What is your practice really worth?" July 11, 2012) as the formula:
V = Cj ÷ r
- V is the value of a dental practice.
- j is the date of the valuation (2014).
- C is the net income for that year.
- r is the cost of capital.
Cost of capital hinges on which industry rate to use. In "Useful Data Sets" from the Stern School of Business at New York University, 100 industries and 7,000 companies are listed.
The two cost of capital rates that are worthy of being examined are healthcare services at 6.77% and public/private equity at 9.46%.1
It is indifferent which to use with the knowledge that the lower the cost of capital rate the higher the valuation. This is because a lesser interest rate (or lower expectation or return on investment by the investor) is being charged against the available cash flow in the lower rate, and a higher charge is in effect with the higher rate. Prudence would argue the higher rate for a more conservative valuation. The fact that on moving from a single practice to a dental practice management company and multifacility dental practices private equity is clearly the outlet of choice for a seller to find a buyer reinforces this choice of the higher cost of capital rate.
Method 2 evaluates practice No. 5 as $6 million x 6% = $360,000 ÷ 9.46% = $3.8 million.
Note: The reader is invited to change the net income and EBITDA margins in the illustration that followed analysis and valuation of practice No.5. The higher the margins move, the more likely that positive and not negative multipliers will be achieved with a valuation number outstripping prior year revenues. 6% and 12% net income and EBITDA margins are too low as indicators of performance for a positive multiplier to result. Try 15% and 21% -- the margins for net income and EBITDA I use in my white paper ("Standardizing the financial reporting of dental practices," January 29, 2013) and watch positive multipliers emerge for the valuation methods with the exception of method 1, which may reach 1.0 but no higher, and methods 4b and 4c in which Medicaid accounts for half or all of a practice's revenues.
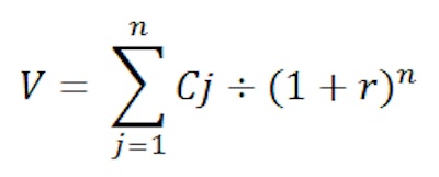
Some readers may be unfamiliar with the abbreviated perpetuity formula used herein, being more familiar with the discounted cash flow or present value formula:

Where "C" stands for either EBITDA or net income," j" is the date of valuation, "r" is the cost of capital, and "n" is the number of years quantified. However, when "C" is the same number every year -- which is what repeatable means -- this formula mathematically reduces itself to the perpetuity formula:
V = Cj ÷ r
Thomas Climo, PhD, is a professor emeritus of accounting and finance at a major university in the U.K. He has published extensively about the importance of modern managerial and financial decision-making for dentistry. He is a consultant to corporate and solo practitioner dental practice management companies in the states of Arizona, California, Connecticut, Nevada, New Hampshire, New York, and Massachusetts. He can be reached by email at [email protected] or by telephone at 702-578-2757.
The comments and observations expressed herein do not necessarily reflect the opinions of DrBicuspid.com, nor should they be construed as an endorsement or admonishment of any particular idea, vendor, or organization.
1 Sometime after January 1, 2014, this dataset (from the Stern School of Business at New York University) moved from data collected by "Value Line," which had the private equity sector to data collected by "Cap+ IQ," which does not. To review an analysis when the Stern School dataset employed "Value Line," see my article, "Dental Industry outlook brightens as cost of capital falls in 2014," January 27, 2014.


















